Второй путь - сохранение всех или большинства производственных операций на постройке со снижением их трудоемкости за счет применения механизированного производственного оборудования и инструмента (объемно-переставная или щитовая инвентарная опалубка, бетононасосы, бетоноукладчики и т.п.). Первый путь послужил основной индустрилизации строительства в России, обеспечив экономичность, снижение трудоемкости строительства и улучшение труда рабочих благодаря выполнению большей части операций по изготовлению конструкций в стационарных защищенных от атмосферных воздействий производственных условиях, что весьма существенно в суровых климатических условиях на большей части территории нашей страны.
В течении последних двух десятилетий в России расширяется использование второго пути индустриализации - возведение зданий из монолитных железобетонных конструкций. Этот метод в лучших образцах экономически равноценен полносборному и в то же время способствует архитектурному разнообразию в решении зданий и застройки. Не соревнуясь с полносборным, монолитное домостроение будет дополнением к нему при решении социальных и архитектурно-композиционных задач. Оба пути индустриализации предъявляют к проектированию специфические требования модульной координации и унификации геометрических параметров.
Унификация
Унификация - научно обоснованное сокращение числа общих параметров зданий и их элементов путем устранения функционально неоправданных или несущественных различий между ними. Унификация обеспечивает приведение к единообразию и сокращению количества основных объемно-планировочных размеров зданий (высот Этажей, пролетов перекрытий, размеров оконных и дверных проемов и пр.) и, как следствие, к единообразию размеров и форм конструктивных элементов и форм для их изготовления в условиях заводского производства или индустриальной опалубки - при построечном. Унификация позволяет применять однотипные изделия в зданиях различного назначения. Обеспечивая массовость и однотипность конструктивных элементов, унификация снижает их стоимость и способствует экономической рентабельности механизированного изготовления конструкций и опалубок.
Возможность сокращения количества типов несущих конструкций достигается так же унификацией расчетных нагрузок. Так например, для конструкций перекрытий гражданских зданий различного назначения обобщен унифицированный ряд полезных нагрузок (без учета собственной массы), который составляет всего несколько величин: 40, 60, 80, 100 и 125 МПа. При этом размеры сечения железобетонного элемента перекрытия остаются постоянными: меняется только армирование изделия и класс бетона.
Основой унификации геометрических параметров зданий и конструктивных изделий для них является модульная координация размеров в строительстве - взаимное согласование размеров зданий и сооружений, а также размеров и расположения их элементов, строительных конструкций и элементов оборудования на основе кратности модулю.
Модуль
Модуль - условная единица измерения, принятая в целях координации размеров. В России и большинстве европейских стран в качестве основного модуля - «М» принята величина 100 мм, кратными которой назначают все основные размеры зданий.
Для повышения эффективности унификации международные органы по стандартизации приняли наряду с основным и укрупненные модули (мультимодули).
Укрупненный модуль
Укрупненный модуль (мультимодуль) - равен основному - М, увеличенному в целое число раз. Установлен следующий предпочтительный ряд величин укрупненных планировочных модулей 3М; 6М; 12М; 15М; 30М; 60М (то - есть 300, 600, 1200, 1500, 3000, 6000 мм). На его базе образованы два независимых ряда, а именно ряды 3М, 6М, 12М, 60М и 3М, 15М, 30М, 60М. Получают применение в проектировании и неполные модульные ряды, например, ряд 3М; 6М; 12М применяемый в проектировании жилых и общественных зданий с мелкоячеистой объемно-планировочной структурой, или ряд 15М; 30М; 60М, применяемый в проектировании общественных зданий с крупными помещениями и промышленных зданий.
Укрупненные модули применяют при назначении размеров основных архитектурно-конструктивных параметров зданий и конструкций: пролетов перекрытий и шагов несущих стен и перегородок, высот этажей, проемов и др.
Высота этажа в жилых, общественных и многоэтажных промышленных зданиях принимается равной расстоянию между отметками чистого пола в смежных этажах, в одноэтажных промышленных - расстоянию от уровня чистого пола до низа конструкций покрытия. Высота этажа в жилых зданиях составляет во II и III климатических районах России минимум - 2,8 м, в I и IV - 3 м. Высоты этажей общественных и промышленных зданий различны, диктуются их функционально-технологическим назначением, но выбираются из следующего модулированного ряда величин - 3,3; 3,6; 4,2; 4,8; 5,4; 6; 7,2; 8,4; 9,6; 10,8; 12,6; 14,4; 16,2; 18 м, например для школ и больниц - 3,3 м, для крупных торговых залов - 4,2 и т.п.
Развитием модульной координации размеров стал переход линейных рядов к модульным планировочным и пространственным объемно-планировочным сеткам взаимно пересекающихся модульных плоскостей, расстояние между которыми кратны основному из выбранных для проектируемого объекта укрупненных модулей (рис. 4.1).
При проектировании основных конструкций здания их располагают в пространстве, совмещая с модульным плоскостями. Линии пресечения модульных плоскостей, совмещенных с несущими конструкциями здания, образуют линии разбивочных осей здания. Оси обозначают марками (цифрами и буквами) в кружках (маркировка осей). Для маркировки осей применяют арабские цифры и прописные буквы русского алфавита. Цифрами маркируют оси вдоль стороны плана с большим количеством разбивочных осей. Порядок маркировки - снизу вверх и слева направо по левой и нижней сторонам плана. На чертежи разрезов кроме расстояний между разбивочными осями выносят отметки - расстояние - от горизонтальной плоскости, уровень которой условно принят нулевым. Чаще всего за нулевой принимается уровень чистого пола первого этажа (рис. 4.2).
В начале строительства здания производится выноска осей здания на местность, называемая разбивкой здания или разбивкой осей. Разбивочные оси используют для привязки конструкции - определения ее положения в плане здания при помощи размеров от оси или грани конструкции до ближайшей разбивочной оси. Разработаны правила привязки, которые позволяют уменьшить число типоразмеров* сборных элементов. С этой целью правила привязки в зданиях разных строительных и конструктивных систем приняты различными.
Здания со стенами из кирпича
В зданиях со стенами из кирпича или мелких блоков привязка плоскостей внутренних стен и внутренних плоскостей несущих наружных стен к модульным (координационным) осям выбрана по условиям опирания перекрытий равной 120 мм (для стен толщиной 250 мм - 125 мм). При такой привязке во внутренних стенах толщиной более 250 мм образуются две координационных модульных оси с интервалом «Д» между ними, который может быть использован для пропуска в стене вентиляционных каналов или монолитных железобетонных обвязок - антисейсмических поясов. В этих случаях модульные и разбивочные оси зданий не совпадают и рассматриваемая система привязки называется методом парных модульных осей. На чертежах проектов парные модульные оси не наносят, а показывают только разбивочные оси (рис. 4.3).
Расстояние между разбивочными осями (L₁, L₂, L₃) включают модульные размеры (L₀) в сумме с интервалами и определяются по формулам:

Привязка к разбивочной оси внутренней плоскости наружных стен, на которые перекрытий не опираются, в целях сокращения числа типоразмеров перекрытий может приниматься различной в диапазоне от 0 до 100 мм. Перечисленные правила относятся к привязке осей стен верхнего этажа здания. В нижних этажах толщина стен по требованиям прочности может возрасти. Соответственно в нижних этажах привязка оси стены и глубина заделки перекрытий в стены увеличиваются.
Крупнопанельные здания
В крупнопанельных зданиях разбивочные оси внутренних несущих стен совпадают с их геометрической осью, оси наружных стен из бетонных панелей размещают на расстоянии 80 мм, из панелей, изготовленных с применением листовых материалов, - 50 мм от внутренней грани стены.
Каркасные здания
В каркасных зданиях разбивочные оси внутренних и наружных колонн размещают по их геометрической оси. Привязка наружных стен к осям крайних рядов колонн в целях максимальной унификации принимается различной в соответствии с особенностями типизированного конструктивного решения каркаса: ось наружной колонны может совмещаться с наружной гранью колонны, располагаться по геометрической оси. По Общегосударственному каталогу - внутренняя поверхность наружной стены отстоит от наружной поверхности колонны на 20 мм, а по Московскому территориальному от оси колонны - на 400 мм и пр. (рис. 4.4).
Расстояние между разбивочными осями конструкции, кратное единому или укрупненному модулю (за исключением расстояний между стенами из кирпича или мелких блоков), называют координационным размером - L₀=k·М, где k - коэффициент кратности модулю.
Кроме координационных в полносборном строительстве используют понятия конструктивные и натурные размеры (рис. 4.5).
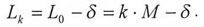
Конструктивный размер
Конструктивный размер - проектный размер сборного изделия (Lk), отличающийся oт координационного на проектную величину зазора между изделиями (δ), т. е.
Натурный размер
Натурный размер - фактический размер изделия, который отличается от конструктивного на величину, которая зависит от допуска** на изготовление изделия. Величины допусков определяются установленным классом точности формования изделий, который в свою очередь определяется принятым классом точности изготовления формовочного оборудования. Фактический размер изделия должен отличаться от конструктивного не более, чем на половину принятого для изготовления допуска - Δ, т.е.

Действенной мерой сокращения номенклатуры сборных изделий наряду с унификацией является типизация. Если унификация имеет целью только ограничение числа типов изделий, то типизация, исходя из ряда стабильных требований к заводской продукции, позволяет отобрать для широкого применения наиболее совершенные и экономически эффективные изделия.
Наиболее отработанные и совершенные конструкции включают в отраслевые или государственные стандарты, что является высшим уровнем типизации изделий.
Примечания
* Типоразмер - понятие, совмещающее в себе наименование вида изделия, (например наружной стены или перекрытия) и его размеры. Типоразмер обычно содержит ряд марок изделий - вариаций внутри типоразмера по каким - либо признакам - классу бетона, количеству арматуры, размещению отверстий и т.д.
** Допуск - максимально допустимое отклонение в большую или меньшую сторону фактического размера изделия от конструктивного.





